知识分享 | 考虑孔隙比依赖性和变异性降雨诱发非饱和边坡失稳的光滑粒子流体动力学(SPH)建模

2025-10-20 2045 0

题目

Title



论文信息

Information

期刊: Computers and Geotechnics

作者: Guodong Ma a , Annan Zhou a* , Ha H. Bui b.

工作单位: a: 澳大利亚维多利亚州墨尔本市皇家墨尔本理工大学工程学院土木与基础设施工程系

              b: 澳大利亚维多利亚州克莱顿市莫纳什大学土木与环境工程系

摘要

Abstract

降雨诱发的非饱和土坡失稳是全球范围内最常见且最具破坏性的滑坡类型之一,往往会造成重大人员伤亡和经济损失。准确预测此类失稳不仅需要一种能够捕捉非饱和土水力和力学耦合行为的稳健数值方法,还需要全面了解土壤性质的空间变异性对边坡稳定性的影响。在本研究中,首次采用光滑粒子流体动力学(SPH)结合先进的非饱和本构模型,研究孔隙比依赖性和变异性对降雨诱发的非饱和土坡失稳的影响。该模型能够捕捉非饱和土的水力-力学耦合行为,考虑孔隙比对水滞、入渗和强度特性的影响。采用单层多相 SPH 方法,每个粒子同时代表水、气和固体相,从而能够高效且稳健地模拟大变形问题。将 SPH 模型应用于具有空间可变土壤特性的合成斜坡,以探究孔隙比的不均匀性如何改变破坏机制和起始条件。研究结果为孔隙比不均匀性在降雨引发的滑坡中的作用提供了新的见解,并展示了先进的 SPH 模型在岩土工程应用中进行实际概率分析的潜力。


图表

Figures&Tables



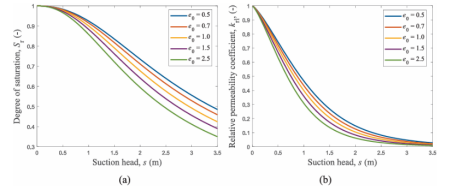
图1 不同孔隙比下的饱和程度和相对渗透系数。



图2 次荷载和屈服面本构模型



图3 SPH设置用于颗粒坍塌。



图4 颗粒坍塌几何形态的比较。




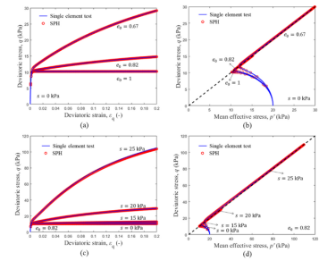
图5 初始孔隙比和初始吸力对本构模型性能的影响。



图6 均质与非均质斜坡孔隙度的演化。



图7 均质边坡与非均质边坡平均有效应力的演化。



图8 均质和异质中D、E、F位置的位移neous斜坡。

结论

Conclusion

本研究开发并实施了一个完全耦合的光滑粒子流体动力学(SPH)数值框架,以研究降雨引起的非饱和边坡失稳,特别关注非饱和土中孔隙比的依赖性和变异性。先进的非饱和本构模型成功地集成到 SPH 框架中,以捕捉边坡失稳过程中复杂的水力 - 力学相互作用。首先在单元级别验证了非饱和本构模型的性能,然后通过 SPH 简单剪切试验和颗粒崩塌试验进行了验证。将完全耦合的 SPH 模型应用于非饱和路堤边坡的降雨入渗场景,为孔隙率的空间异质性如何影响水入渗模式、孔隙压力发展、有效应力和边坡稳定性提供了关键见解。孔隙比的空间变异性增加通常会增强边坡的潜在不稳定性,并为渗流创造更多优先路径。结果,入渗时间缩短,由于密度的显著变化,土壤强度降低。数值结果表明,孔隙比的空间变异性增大时,边坡破坏时的滑动面积会扩大,但对滑移距离的影响有限。同时,它还会导致边坡破坏的提前发生。总体而言,所提出的基于光滑粒子流体动力学(SPH)的方法为分析非饱和土中复杂的边坡破坏机制提供了一种稳健且高效的工具。这些发现为未来在降雨条件下对异质性岩土材料进行概率性和基于性能的边坡稳定性评估提供了宝贵的指导,并奠定了坚实的基础。

参考文献

References

Guodong Ma, Annan Zhou, Ha H. Bui. Smoothed particle hydrodynamics (SPH) modelling for rainfall-induced unsaturated slope failure considering void ratio dependence and variability. Computers and Geotechnics 189 (2026) 107629.


评论 (0

成功提示

错误提示

警告提示

TOP